+1 (758) 730-1122 stroseautorentals@gmail.com
Terms and Conditions

Rental Requirements

- Original Driver's License from country of issue (Also applies for additional driver)
- Rental Cost (Payable by Credit Card - VISA or MASTER are acceptable or Cash)
- Completed and signed rental agreement
- Optional Extra Protection/Coverage
- Other Additional Charges that may apply


Rental Terms

Drivers

Driver must be over 25 years of age with a valid drivers license issued by country of residence and with two (2) years or more driving experience. An additional driver is allowed at a cost of $20USD. Additional driver must be a close relative or business partner, 25 years of age and must have a valid drivers license from country of residence.

 

Permits

A Local permit is mandatory and can be issued by our representative at the time of delivery.

 

Collision Damage Waiver

Optional Collision Damage Waiver(C.D.W) is available. The Collision Damage Waiver is NOT Insurance and is Non-Refundable.

- If C.D.W is declined the Renter is responsible for the full price of any damage.
- If C.D.W is accepted the Renter is only responsible for the first $10,000(XCD) / $3745USD of any damages.


In the event of an accident or theft, the Renter is advised to immediately report the incident to St. Rose Auto Rental Services and the local police. The renter should complete a report within 24 hours of occurrence.

 

Return of Vehicle

If the Renter returns the vehicle with less fuel than rented, a refueling charge will apply. Also an additional fee will apply if the vehicle is returned to any other location than previously agreed.

 

Payments

The following methods of payment are accepted: MasterCard, VISA or CASH.  

 

Delivery Fee

There is a $20USD to $40USD charge to have vehicles dropped off and/or picked up at locations other than our main office and the Hewanorra International Airport (UVF).

 

Cancellations

It is recommended that any rental cancellations be done 48 hours prior to confirmed rental date.

 

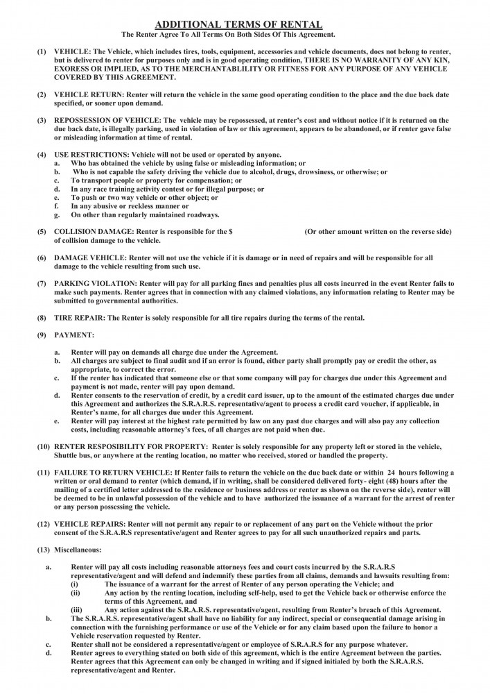
Read our Additional Terms of Rental.